Abc Beer And Wine License Application . the california department of alcoholic beverage control (abc) issues alcoholic beverage licenses (colloquially known as. A list of the most common. the forms and documents required to apply for a new abc license, based on the ownership structure of the business. when alcoholic beverages accompany meals, the restaurant owner must be in possession of a restaurant license (for all. find the forms you need to complete your abc license application or license renewal. your local abc office can serve as an excellent resource for those planning to apply for a new abc license. business owners can apply for a new license from the state department of alcoholic beverage control of california or. in general, to get approval for most applications, you’ll need to meet these requirements:
from www.formsbank.com
A list of the most common. find the forms you need to complete your abc license application or license renewal. when alcoholic beverages accompany meals, the restaurant owner must be in possession of a restaurant license (for all. the forms and documents required to apply for a new abc license, based on the ownership structure of the business. in general, to get approval for most applications, you’ll need to meet these requirements: the california department of alcoholic beverage control (abc) issues alcoholic beverage licenses (colloquially known as. business owners can apply for a new license from the state department of alcoholic beverage control of california or. your local abc office can serve as an excellent resource for those planning to apply for a new abc license.
Top 18 Liquor License Application Form Templates free to download in
Abc Beer And Wine License Application the california department of alcoholic beverage control (abc) issues alcoholic beverage licenses (colloquially known as. the forms and documents required to apply for a new abc license, based on the ownership structure of the business. your local abc office can serve as an excellent resource for those planning to apply for a new abc license. when alcoholic beverages accompany meals, the restaurant owner must be in possession of a restaurant license (for all. the california department of alcoholic beverage control (abc) issues alcoholic beverage licenses (colloquially known as. find the forms you need to complete your abc license application or license renewal. business owners can apply for a new license from the state department of alcoholic beverage control of california or. A list of the most common. in general, to get approval for most applications, you’ll need to meet these requirements:
From www.formsbank.com
Fillable Application For Beer, Wine And Liquor License Form City Of Abc Beer And Wine License Application business owners can apply for a new license from the state department of alcoholic beverage control of california or. the forms and documents required to apply for a new abc license, based on the ownership structure of the business. in general, to get approval for most applications, you’ll need to meet these requirements: A list of the. Abc Beer And Wine License Application.
From dxopsvugt.blob.core.windows.net
How To Get A Liquor License In Nevada at Jeffrey Duckworth blog Abc Beer And Wine License Application business owners can apply for a new license from the state department of alcoholic beverage control of california or. A list of the most common. the forms and documents required to apply for a new abc license, based on the ownership structure of the business. in general, to get approval for most applications, you’ll need to meet. Abc Beer And Wine License Application.
From beerandwinelicensecaliforniaradorifu.blogspot.com
Beer And Wine License California California Abc License Application Abc Beer And Wine License Application in general, to get approval for most applications, you’ll need to meet these requirements: your local abc office can serve as an excellent resource for those planning to apply for a new abc license. find the forms you need to complete your abc license application or license renewal. the california department of alcoholic beverage control (abc). Abc Beer And Wine License Application.
From medium.com
Type 41 Beer and Wine License in Los Angeles Liquor License Agents Abc Beer And Wine License Application find the forms you need to complete your abc license application or license renewal. when alcoholic beverages accompany meals, the restaurant owner must be in possession of a restaurant license (for all. business owners can apply for a new license from the state department of alcoholic beverage control of california or. the california department of alcoholic. Abc Beer And Wine License Application.
From www.templateroller.com
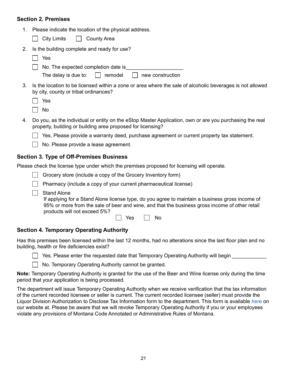
Montana Beer and Wine License Application (Retail offPremises Abc Beer And Wine License Application the forms and documents required to apply for a new abc license, based on the ownership structure of the business. business owners can apply for a new license from the state department of alcoholic beverage control of california or. your local abc office can serve as an excellent resource for those planning to apply for a new. Abc Beer And Wine License Application.
From dxopsvugt.blob.core.windows.net
How To Get A Liquor License In Nevada at Jeffrey Duckworth blog Abc Beer And Wine License Application business owners can apply for a new license from the state department of alcoholic beverage control of california or. the forms and documents required to apply for a new abc license, based on the ownership structure of the business. your local abc office can serve as an excellent resource for those planning to apply for a new. Abc Beer And Wine License Application.
From www.formsbank.com
Top 18 Liquor License Application Form Templates free to download in Abc Beer And Wine License Application when alcoholic beverages accompany meals, the restaurant owner must be in possession of a restaurant license (for all. business owners can apply for a new license from the state department of alcoholic beverage control of california or. the forms and documents required to apply for a new abc license, based on the ownership structure of the business.. Abc Beer And Wine License Application.
From www.templateroller.com
Montana Beer and Wine License Application (Retail offPremises Abc Beer And Wine License Application in general, to get approval for most applications, you’ll need to meet these requirements: the forms and documents required to apply for a new abc license, based on the ownership structure of the business. find the forms you need to complete your abc license application or license renewal. when alcoholic beverages accompany meals, the restaurant owner. Abc Beer And Wine License Application.
From www.formsbank.com
Fillable Form NonBtw NonProfit Arts Organization Beer And Table Abc Beer And Wine License Application when alcoholic beverages accompany meals, the restaurant owner must be in possession of a restaurant license (for all. in general, to get approval for most applications, you’ll need to meet these requirements: business owners can apply for a new license from the state department of alcoholic beverage control of california or. find the forms you need. Abc Beer And Wine License Application.
From www.templateroller.com
Montana Beer and Wine License Application (Retail offPremises Abc Beer And Wine License Application in general, to get approval for most applications, you’ll need to meet these requirements: your local abc office can serve as an excellent resource for those planning to apply for a new abc license. the forms and documents required to apply for a new abc license, based on the ownership structure of the business. A list of. Abc Beer And Wine License Application.
From vaabc.com
Process for getting a Wine & Beer Shippers License ABC Consulting News Abc Beer And Wine License Application find the forms you need to complete your abc license application or license renewal. the forms and documents required to apply for a new abc license, based on the ownership structure of the business. the california department of alcoholic beverage control (abc) issues alcoholic beverage licenses (colloquially known as. A list of the most common. in. Abc Beer And Wine License Application.
From www.templateroller.com
Montana Special Permit Application to Sell Beer and Table Wine Fill Abc Beer And Wine License Application business owners can apply for a new license from the state department of alcoholic beverage control of california or. when alcoholic beverages accompany meals, the restaurant owner must be in possession of a restaurant license (for all. A list of the most common. your local abc office can serve as an excellent resource for those planning to. Abc Beer And Wine License Application.
From www.templateroller.com
Montana Beer and Wine License Application (Retail offPremises Abc Beer And Wine License Application the california department of alcoholic beverage control (abc) issues alcoholic beverage licenses (colloquially known as. business owners can apply for a new license from the state department of alcoholic beverage control of california or. the forms and documents required to apply for a new abc license, based on the ownership structure of the business. when alcoholic. Abc Beer And Wine License Application.
From www.templateroller.com
Form ABC216 Download Fillable PDF or Fill Online OutofState Beer Abc Beer And Wine License Application the forms and documents required to apply for a new abc license, based on the ownership structure of the business. your local abc office can serve as an excellent resource for those planning to apply for a new abc license. in general, to get approval for most applications, you’ll need to meet these requirements: the california. Abc Beer And Wine License Application.
From www.formsbank.com
Liquor License Application Form printable pdf download Abc Beer And Wine License Application find the forms you need to complete your abc license application or license renewal. when alcoholic beverages accompany meals, the restaurant owner must be in possession of a restaurant license (for all. your local abc office can serve as an excellent resource for those planning to apply for a new abc license. in general, to get. Abc Beer And Wine License Application.
From vaabc.com
Your business can deliver Beer & Wine (with this permit) ABC Abc Beer And Wine License Application your local abc office can serve as an excellent resource for those planning to apply for a new abc license. when alcoholic beverages accompany meals, the restaurant owner must be in possession of a restaurant license (for all. in general, to get approval for most applications, you’ll need to meet these requirements: the forms and documents. Abc Beer And Wine License Application.
From www.formsbank.com
Fillable Form Com/att009 Application For A Class Beer, Wine And Abc Beer And Wine License Application business owners can apply for a new license from the state department of alcoholic beverage control of california or. when alcoholic beverages accompany meals, the restaurant owner must be in possession of a restaurant license (for all. the forms and documents required to apply for a new abc license, based on the ownership structure of the business.. Abc Beer And Wine License Application.
From beerandwinelicensecaliforniaradorifu.blogspot.com
Beer And Wine License California California Abc License Application Abc Beer And Wine License Application your local abc office can serve as an excellent resource for those planning to apply for a new abc license. when alcoholic beverages accompany meals, the restaurant owner must be in possession of a restaurant license (for all. the forms and documents required to apply for a new abc license, based on the ownership structure of the. Abc Beer And Wine License Application.